안녕하세요, 센서와 스위치를 다잡는 센서보이 입니다.
이번 글에서는 유량센서(Flowmeter)에 대해 알아보겠습니다.
유량은 압력, 온도, 초음파센서 등 여러 기본 센서들의 응용으로 측정을 하고 있습니다.
따라서 유량 센서는 그 종류가 많고, 기술들이 다양하기에 모든 제품을 소개드리는 것은 다소 어려우니, 혹시 꼭 필요하신 부분이 있다면 이메일로 질문 주시면 답변 해 드리겠습니다.
이번 글은 유량센서 3부작 중 두번째 글입니다.
이번 포스팅에서는 와류 유량센서와 초음파 유량센서에 대해 알아 보겠습니다..
와류 유량센서 (Vortex Flowmeter)
원리
와류 유량센서(Vortex Flowmeter)는 유체에 발생하는 소용돌이(와류)를 통해 유량을 측정하는 유량센서 입니다.
제품 관로 내부에 아래 그림과 같이 소용돌이 발생체인 삼각주를 배치하여, 삼각주의 하류 양측에 교대로 발생하는 와류(Vortex)를 측정하여 부피유량을 측정하게 됩니다.

유량 계산
삼각주의 하류에 발생하는 와류의 단위시간당 발생수는 일정한 레이놀즈 수(Reynolds Number)범위에서 유속에 비례하는 특성을 가지고 있습니다.
따라서, 우리는 이 소용돌이의 단위시간당 발생 수를 측정하여 유속을 측정할 수 있고, 이를 통해 부피유량을 계산할 수 있습니다.
와류의 주파수와 유속 사이에는 아래의 관계식이 성립합니다.
(아래첨자, 위첨자가 안되어 파워포인트에 식을 적어 캡쳐를 했습니다.. 불편하네요 T_T)

비례정수(Strouhal Number, 스트로할 수)는 광범위한 레이놀즈 수 범위에서 거의 일정하며, 유체의 밀도나 점도 등의 물성에 거의 영향을 받지 않고, 유속과 와류발생주파수 사이에 비례관계가 성립하게 됩니다.
위 식에서 비례정수, 소용돌이 발생체의 폭(삼각주 폭)은 알고 있으므로, 소용돌이 발생 주파수를 측정하면 유속 계산이 가능하게 됩니다.
와류 발생 주파수의 측정은 삼각주 후단에 부착된 압력센서를 통해 와류로 인해 발생하는 압의 변화를 측정하여 계산하게 됩니다.
와류 유량센서의 장단점

초음파 유량센서 (Ultrasonic Flowmeter)
원리
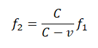
초음파 유량센서(Ultrasonic Flowmeter)는 초음파를 이용하여 유량을 측정하며, 일반적으로 전파 시간차법과 도플러법 두 가지 방식을 통해 유량을 계산합니다.
기본적으로 배관 외부에 설치하여 유량을 측정할 수 있는 방식이기에, 별도 배관조립체 없이 외부 부착형 센서와 트랜스미터만 판매하는 제품도 있고, 여타 유량센서와 마찬가지로 배관조립체 포함하여 판매되는 제품도 있습니다.

유량 계산
먼저 두 가지 타입 중, 전파 시간차법에 대해 알아보겠습니다.

초음파가 유체를 통과할 때, 유체가 흐르고 있는 상태에서는 정지상태일 때에 비해 유속만큼 초음파의 속도가 변화합니다.
위 그림과 같이 초음파 송수신기 T1, R1 및 T2, R2를 대각선으로 설치한 후, 한 쪽에서는 흐름과 동일방향으로, 다른 쪽에서는 흐름과 역방향으로 초음파를 발사시킵니다.
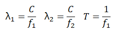
초음파의 속도를 C, 유체의 유속을 v라 했을 때, 초음파의 진행 속도는 아래와 같습니다.

이 때, 정방향과 역방향의 초음파 도달 시간을 각각 t1, t2라고 했을 때 아래와 같습니다.

이 때, 배관 내의 유속v는 일반적으로 유체 내에서의 평균적인 음속 C=1500m/s에 비해 상당히 낮기 때문에, 아래와 같이 정리할 수 있습니다. (C^2 >> v^2)

리시버 R1, R2에서 초음파가 도달된 시간의 차이를 확인할 수 있기 때문에, 이를 토대로 우리는 유속 v를 측정, 부피유량을 계산할 수 있습니다.
이번에는 도플러법에 대해 알아보겠습니다.
도플러 효과란, 운동을 하고 있는 경우와 정지한 경우에 있어 관측자에게 측정되는 파동의 진동수가 다르게 측정되는 현상을 말합니다.
파동원과 관측자가 가까워질수록 진동수는 높아지고, 멀어질수록 진동수는 낮아집니다.
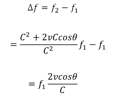
도플러법은 송신부와 수신부가 같은 위치에 달려있어, 유체 내의 기포, 부유물에 반사된 초음파를 감지하여 주파수의 차이를 계산하여 유량을 측정하는 방식입니다.


파원(유체중 부유물)이 v의 속도로 초음파의 한 주기 T초동안 감지센서에서 멀어질 때, 멀어진 거리는 vT가 되므로, 감지된 파장은 아래와 같습니다.

이 때, 앞서 서술한 파동의 속도에 관한 식을 파장에 대해 정리하면 아래와 같습니다.

이를 위 식에 대입하여 정리하면 아래와 같습니다.

이 때, 앞서 서술했던 배관 내의 초음파를 기준으로 식을 정리하면 아래와 같습니다.

이 때, 시간차법과 마찬가지로 C^2 >> v^2를 사용하기 위해 수식을 아래와 같이 변형할 수 있습니다.

여기서 우리는 결론적으로 구하고자 하는 주파수의 차이를 아래와 같이 구할 수 있습니다.


여기서 발생되는 주파수는 유량센서에서 자체적으로 발생시키는 것이기 때문에, 리시버를 통해 받은 주파수와 최초 발생시킨 주파수를 비교하여 유속v를 측정할 수 있습니다.
이를 통해 부피유량 계측이 가능합니다.
초음파 유량센서의 장단점


'센서와 스위치 > Sensor' 카테고리의 다른 글
| 초저온 압력센서(Cryogenic Pressure Sensor)에 대하여 (1) | 2022.10.20 |
|---|---|
| 홀센서(Hall Sensor)에 대하여 (1) | 2022.10.18 |
| 유량센서(Flowmeter)에 대하여 - 1 (2) | 2022.09.19 |
| 광방식 산소센서(Optical Oxygen Sensor)에 대하여 (0) | 2022.04.07 |
| 지르코니아 산소센서(ZrO2 Oxygen Sensor)에 대하여 (3) | 2022.01.27 |