안녕하세요, 센서와 스위치를 다잡는 센서보이 입니다.
이번 글에서는 지르코니아 산소센서(ZrO2 Oxygen Sensor)에 대해 알아보겠습니다.
산소의 농도를 측정하는 방법은 여러가지가 있습니다. (ZrO2, Galvanic, Optical 등)
이번 포스팅에서는 지르코니아 산소센서(ZrO2 Oxygen Sensor)에 대해 알아보려 합니다.
지르코니아 산소센서는 견고한 Housing을 씌울 수 있으며, 고온 등 다소 열악한 환경에서의 산소 측정에 사용됩니다. (굴뚝 등)
그럼, 지르코니아 산소센서에 대해 천천히 알아 보겠습니다.
센서 이해를 위한 기초물리학
부분압력
기체의 압력은 가스 혼합물 내의 구성 가스들의 부분 압력의 합으로 정의됩니다.
이것에 대해 물리학자 존 돌턴이 정리한 돌턴의 법칙(Dalton’s Law)이 있으며, 내용은 하기와 같습니다.

(1)번 식으로부터, 우리는 가스 혼합물 내에서 부분 가스가 차지하는 비율이 해당 가스의 총 압력에 대한 부분 압력의 비율과 같다는 것을 알 수 있습니다.

이산화 지르코늄
650℃ 이상의 안정된 이산화 지르코늄(ZrO2)은 2가지 독특한 메커니즘을 나타냅니다.
ZrO2는 부분적으로 해리되어 이동 가능한 산소 이온을 생성하는 고체 전해질의 역할을 수행합니다.
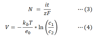
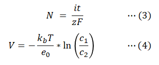
일정한 DC 전류가 공급되면 다공성 전극으로 코팅된 ZrO2 Disc는 주변의 산소 이온을 페러데이의 전기분해 법칙에 따라 이동시키게 되며, 이동하는 산소 이온의 수는 아래와 같습니다.

위에서 설명 한 바와 같이 ZrO2는 고체이지만 O2에 대하여 전해질과 같은 역할을 수행합니다.
그렇기 때문에, ZrO2 Disc의 양쪽 면에 서로 다른 산소 분압이 가해지면 그것을 가로지르는 전압이 생성됩니다.
이 전압은 네른스트 방정식(Nernst Equation)에 의해 계산될 수 있습니다.

네른스트 방정식
네른스트 방정식(Nernst Equation)이란, 전기화학에서 전지의 전극 전위 E를 기술하는 방정식 입니다.
1889년 발터 네른스트가 발견 하였으며, 네른스트 효과(Nernst Effect)와는 조금 다른 개념입니다.
전위차가 주어지면 네른스트 방정식을 적용하여 이온의 농도를 구할 수 있으며, pH의 측정은 대부분 네른스트 방정식을 통해 이루어집니다.

예전의 ZrO2 산소 센서들은 위의 네른스트 방정식만을 사용하여 c2(센서 외부 산소 농도)를 측정하는 방식을 사용하고 있습니다. 그러므로, 기준가스 c1이 필수적으로 필요하게 됩니다.
하지만, 최근 ZrO2 산소 센서는 네른스트 전압과 산소 펌프 효과를 동시에 적용하여 네른스트 전압 변동 주기를 계산 함으로써, 여타 센서와는 달리 기준가스의 필요성이 없으며 더 넓은 범위의 산소 레인지, 더 다양한 어플리케이션에 적용이 가능합니다.
센서의 구조 및 동작 개요
센서의 구조

Sensing Cell의 구조 및 단면도

센서 동작 개요
첫 번째 ZrO2 Square는 O2 Pump 역할을 수행하며, 가해지는 전류의 방향에 따라 Sensing Chamber를 가압하거나 방출시킵니다. 이 때, 이동하는 총 산소 원자량 N은 앞서 기술한 페러데이의 전기분해 법칙을 따릅니다.
이 때, 산소 이온은 음이온이기 때문에 전류의 반대 방향으로 이동합니다.
두 번째 ZrO2 Square는 Sensing Chamber와 외부의 O2 Pressure의 차이로 인해 Nernst Voltage가 발생합니다.
이 때, 발생하는 전압은 네른스트 방정식(Nernst Equation)을 따릅니다.

Interface Board에서는 2개의 기준 전압(V1, V5)을 설정합니다. 이후 정전류 전원에 의한 O2 Pumping으로 Nernst Voltage가 발생하며, 이 전압이 기준 전압에 도달 할 때 마다 Board에서 정전류 전원의 극성을 반전시킵니다.
따라서, Sensing Chamber 내부는 항상 외부의 공기보다 O2 Pressure가 낮기 때문에 항상 양의 Nernst Voltage가 발생합니다.
이 때, 완전한 Pumping Cycle이 진행되는 시간, 즉 Sensing Chamber를 비우고 재가압 시키는데 걸리는 시간은 온전히 측정 대상 가스의 산소 분압의 비율에 의존하게 됩니다.

(4)식의 c1은 (3)식의 N이 됩니다. (Sensing Chamber에 Pumping되는 산소 분자량)
c2는 Sensing Cell 바깥쪽의 산소 분자량 입니다.
식 (4)의 Nernst Voltage는 온도 T가 650℃ 이므로 오로지 c1과 c2의 비율에 의해서 결정됩니다.
여기서 c2의 분자량 N이 크면 클수록 Pumping 시간이 길어지게 되는데, (3)식에 따라 t=NzF/i일 때 정전류 i값이 고정이며 z, F가 상수이기 때문입니다.
따라서, Pumping Cycle & Nernst Voltage의 주기는 측정하고자 하는 산소의 압력에 선형적으로 비례합니다.

Sensitivity or Slope
ZrO2 Sensor는 Pumping Cycle Time (td or tp)을 PPO2로 나누어 Sensitivity를 계산합니다.
td의 경우 계산식은 아래와 같습니다. (td, 즉 Tc = 0 Mode의 사용을 권장합니다.)

ZrO2 센서의 민감도는 일반적으로 1.05 ms/mbar 입니다. (기타 Gas의 PPO2를 적용하여 Sensitivity를 계산한 경우도 동일)
이를 활용하면, 최초 Calibration 이후 Sensitivity는 상수처리 되기 때문에 PPO2를 하기와 같이 구할 수 있습니다.

반면, Tc = 0 Mode가 아닌 tp의 경우 계산식은 아래와 같이 원점 offset 보상을 추가 계산하여야 합니다.

하지만, 감도에 영향을 주는 많은 요인(Sensing Chamber의 Volume, ZrO2 Disc의 두께 등)이 있으므로, 생산 당시 ±15%의 오차가 발생하게 됩니다.
따라서 올바른 감도의 센서를 사용하기 위해서는 보정이 필요합니다.
추가 고려사항
앞서 센서 동작의 개요를 살펴본 바와 같이, 이론적으로는 Nernst Voltage의 주기를 측정함에 있어 V1 또는 V5를 기준으로 측정해도 아무 문제가 없지만, 실제 측정에 있어 아래와 같은 고려사항이 존재합니다.
- 공간 전하에 의한 ZrO2의 전기 이중층 효과
- Application에 적합한 응답속도
- 온도 의존성 제거
- Calibration
전기 이중층 효과 보상
ZrO2 소자의 O2 Pump 효과를 위해 공급되는 정전류가 전부 O2 Pumping을 위해 사용되는 것은 아닙니다.
일부 전류는 ZrO2와 Platinum Ring 사이의 전기 이중층에 의해 흡수되며, 이 효과는 높은 차압 또는 정전류 전원이 역전되는 부분에서 두드러지게 나타납니다.
따라서, 차압이 지나치게 높거나, 정전류 전원이 역전되는 부분에서는 챔버를 가압/방출 시키는데 필요한 전하량이 증가하게 됩니다.
하지만, 전원이 동일하기 때문에 시간 t가 늘어나게 되며, 이는 센서 출력의 정밀도를 떨어트리는 효과를 가져옵니다.
해당 효과를 줄이기 위해 Chamber 내부와 주변 압력은 1 ~ 10% 정도의 차이를 유지하여야 합니다.
Application에 따른 반응속도 조절
측정하고자 하는 가스의 산소 압력이 증가함에 따라, Pumping Cycle Time도 자연스레 증가하게 됩니다.
만일, 높은 압력에서 농도를 측정하는 경우에는 Pumping Cycle Time이 너무 길어지므로, V1과 V5의 간격을 좁혀 반응 속도를 빠르게 해야 합니다.
온도 의존성 보상
네른스트 전압은 온도 의존성을 가지고 있으며, 전기 이중층 효과와 마찬가지로 정전류 전원이 역전되는 부분에서 크게 나타납니다.
Chamber 내부의 산소 분자는 여러 가스 법칙들(보일-샤를, 아보가드로 등)에 영향을 받는데, 이 법칙들의 온도 의존성과 네른스트 방정식의 온도 의존성을 복합적으로 계산하여 온도 의존성을 크게 감소시킬 수 있습니다.
이 보상법을 Tc = 0 Mode 라고 부르며, 계산 식은 하기와 같습니다.

Tc = 0 Mode는 온도 의존성을 제거할 뿐 만 아니라, 아래 그래프와 같이 Cycle Time의 출력이 원점을 통과하므로 추후 센서 보정에 있어 원점 offset 보정 없이 센서의 gain값만 보정하면 된다는 장점이 있습니다.

Calibration
ZrO2 센서는 초기 약 200시간 동안 ±3%정도의 오차가 발생할 수 있으며,
이것을 제거하기 위하여 정기적인 Calibration을 해 주면 더욱 정확한 측정 결과값을 얻을 수 있습니다.
센싱 오차가 발생하는 이유는 아래와 같습니다.
- 이산화 지르코늄의 기타 불순물이 백금 전극 표면으로 이동
- 히팅 코일 노화
- 열 산화로 인한 Stainless Steel Cap 표면의 내부 반사율 저하
- 기압과 Output의 선형적 비례 관계로 인한 Output 출력 변화 (기압 1% 변화 = Output 1% 변화)
초기 200시간 동안 센싱 오차가 발생할 확률과 오차 발생 범위가 크기 때문에, 이상적인 초기 시스템 교정은 센서가 200시간 동안 동작 한 후에 실행하는 것이 좋습니다.
지르코니아 산소센서 사용 시 주의사항
지르코니아 센서의 가장 큰 이점은 본질적으로 고장에 내성이 강하다는 것입니다.
지속적인 Pumping Cycle은 센서의 심장박동과도 같으며, 이상 발생 시 관련 마이크로 프로세서를 통해 매우 빠르게 감지됩니다.
Nernst 전압의 파형이 우측의 그림과 같이 대칭형이면 센서가 매우 건강하다는 뜻이며, 비대칭 출력이 감지되면 다음 원인 중 하나일 수 있습니다.
- Heater의 전압이 너무 낮음
- 센서가 오염되어 펌핑이 제대로 이루어지지 않음
- Sensing Chamber의 내부 Leak 발생 (이 경우 Chamber를 비우는 것이 어려워집니다.)
- ZrO2 Square의 임피던스가 과하게 올라갔음
비대칭을 감지하기 위한 식은 하기와 같으며, 이상적으로는 1의 값을 가지나 ±2.5%의 허용오차가 존재합니다.

열악한 습도 환경에서 사용하는 경우
덥고 습한 환경, 특히 측정 가스에 부식성 구성요소가 있는 경우에는 Sensing Cell이 주변보다 높은 온도를 계속 유지하는 것이 매우 중요합니다.
작동 중에는 Heater의 온도(700℃)로 인해 문제가 되지 않지만, 전원이 꺼질 때 히터가 먼저 꺼지게 된다면 히터 및 셀에 결로가 생기게 됩니다.
그 후, 전원 공급 시 결로가 증발하며 부식성 염이 남게 되어 하기 그림과 같이 셀이 부식됩니다.
따라서 주변 공기의 온도가 낮아진 후에 히터의 전원을 차단하는 것이 매우 중요합니다.

물방울이 떨어지는 환경에서 사용하는 경우
물방울이 떨어지는 환경에서는 Cap과 Heater를 낙하하는 물방울로부터 보호해야 합니다.
정상동작 중인 Cap과 Heater는 약 700℃의 고온이기 때문에, 낙하하는 물방울에 의해 막대한 온도충격이 가해집니다.
그렇기 때문에 Sensor에 후드를 씌우거나 큰 실린더에 넣어 사용하는 것을 권장하며, 물방울 보호용 실린더는 요청 시에 제이 가능합니다.
실리콘이 있는 환경에서 사용하는 경우
모든 ZrO2 센서는 측정 가스에 실리콘이 존재하면 Sensing Cell이 손상을 입을 수 있습니다.
RTV고무 및 밀봉제의 증기(유기 실리콘 화합물 등)이 대표적이며, 많은 산업현장에서 널리 사용되고 있습니다.
만일 이러한 실리콘이 가열된 증기가 센서에 도달하면, 실리콘 유기 화합물이 히터의 고온을 통해 연소되어 매우 미세한 이산화규소(SiO2)가 남게 됩니다.
이 SiO2는 Platinum Ring의 정공 및 활성부분을 코팅하여 완전히 차단합니다.
산소센서 제조사는 고객의 Application 내에서 실리콘 사용에 대한 지침 및 해결 방안을 제공합니다.
주변의 산소 압력이 매우 낮은 환경에서 사용할 때
주변의 O2 Pressure가 1mbar 이하인 매우 낮은 산소 압력 환경에서는 주변의 O2원자의 수가 매우 적습니다.
하지만, 만일 Pumping 정전류 소스가 가해진다면 하기 식(3)을 만족시키기 위해 어떻게든 O2원자를 Pumping하게 됩니다.
극단적인 경우 ZrO2 Square 내부의 O2를 Pumping하기 때문에 소자의 성능에 데미지를 입게 됩니다.
하기 그래프에서 낮은 O2 Pressure 구간이 점선으로 표시된 것 또한 같은 이유이며, 위와 같은 이유로 1mbar PPO2 이하의 낮은 압력 환경에서는 사용을 권장하지 않습니다.


'센서와 스위치 > Sensor' 카테고리의 다른 글
| 유량센서(Flowmeter)에 대하여 - 1 (2) | 2022.09.19 |
|---|---|
| 광방식 산소센서(Optical Oxygen Sensor)에 대하여 (0) | 2022.04.07 |
| 써미스터(Thermistor)에 대하여 (1) | 2022.01.27 |
| 열전대(T/C, Thermocouple)에 대하여 (2) | 2022.01.17 |
| 측온저항체(RTD, Resistance Temperature Detector)에 대하여 (0) | 2022.01.16 |